A survey is a tool that can provide you with useful or useless information depending on the quality of your goals and how you design it.
When you design a survey, you need to consider the purpose of the final result you want to obtain. A good exercise to start a survey is to write down your questionnaire and simulate your answers to see what will be the final results. This is what the market research expert Jackie Tanenbaum called “design with the end in mind” or “think about what you want to include in your final report.’
Top 7 best practices when designing a survey:
- Define your objectives. As I mentioned before, write down the main purpose of your survey and “design with the end in mind.”
- Short surveys are better. In most cases, people are doing you a favor, and even though you probably are offering a prize to the participants, you will get a higher completion rate if the survey is short.
- Using closed-ended questions. These types of questions use dual choice or multiple-choice response format. For example: do you own a car? yes or no? or like what kind of food do you like? Asian, Mexican, Cuban, American? This type of question/response format is easy to fill and tabulate.
- Offer an incentive. Maybe sweepstakes drawing a gift card to the participants who answer all your questions also can be a non-monetary incentive such as books and tickets to an event. Be careful with the incentive and how you promote the survey because you might be getting many respondents that are just for the incentive and are not your target audience.
- Don’t ask double-barreled questions. This is when you ask two separate things in one question: How do you qualify the tech support and the quality of the product you just purchased?
- Leave personal questions to the end. Questions about the name, address, age, or any other personal questions leave it towards the end of the survey.
- Test your survey before launching. Run your survey within your company, internally, and get feedback from your co-workers and team. You don’t want to launch a survey and realize you forget a question.
How How to get survey responses?
Once you have planned your survey, test it internally, and everything is good to go, you cannot forget something really important. How many responses do you need to make sure your data is statistically significant? Also, how will you get the responses?
Sample size
The size of the sample should represent your research target, it should be large enough to obtain statistically significant results.
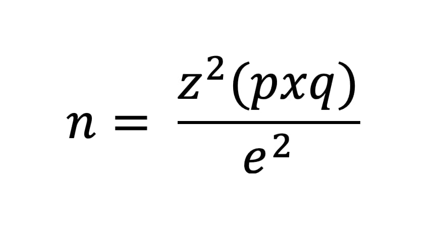
You can use the following formula to determine a sample size:
n = size of the sample
Z = z score for the corresponding level of confidence
pxq = estimated variance
p = percent from prior study
q = 100 – p
e = error or desired accuracy.
Let’s do a simple exercise, imaging you have not conduct any survey and we want 95% level of confidence and a margin of error of 3%. When you have not conducted any previous survey the estimated variance or pxq = 50×50. The Z-score is a constant, for 95% the level of confidence is 1.96
n = 1.96^2 (50×50) / 3%^2
n = 1,068 respondents is what you need for this particular case.
Some Z-score values
| Confidence Interval | Z |
| 80% | 1.282 |
| 85% | 1.440 |
| 90% | 1.645 |
| 95% | 1.960 |
| 99% | 2.576 |
| 99.5% | 2.807 |
| 99.9% | 3.291 |
If this is too complicated, you can use a sample size calculator offered by surveymonkey.com
Getting responses
Nowadays, one of the fastest ways to get survey responses is through digital campaigns using social media networks to reach them. I have used the past Facebook/Instagram to reach people using paid campaigns. You can set up a Facebook / Instagram campaign, define your target audience, establish a budget a send all the people to surveymonkey.com or typeform.com or whatever tool you are using to reach them.
If you have a list of email subscribers and you have permission to send them information via email, this will be another way to reach potential responders. Also, you can create a Google ads campaign and reach them through the display networks.
Software you can use to design and analyze surveys
A survey is a fun way to discover many things from exit interviews, customer satisfaction, market research, and employee satisfaction to brand awareness, event feedback, etc. The key point is to plan and have a clear purpose for what are you pursuing, without an objective you can obtain just useless information.

